管殼式換熱器的實際換熱面積計算是一個復雜的過程,涉及到多個參數和公式。以下是一些基本的步驟和公式,用于計算管殼式換熱器的實際換熱面積:1.確定熱負荷(Q):這是換熱器需要處理的熱量,通常以千瓦(kW)或千焦/小時(kJ/h)表示。可以通過以下公式計算:其中W是流體的質量流量(kg/h),c是流體的平均定壓比熱容(kJ
管殼式換熱器的實際換熱面積計算是一個復雜的過程,涉及到多個參數和公式。以下是一些基本的步驟和公式,用于計算管殼式換熱器的實際換熱面積:
1.確定熱負荷(Q):這是換熱器需要處理的熱量,通常以千瓦(kW)或千焦/小時(kJ/h)表示。可以通過以下公式計算:

其中W是流體的質量流量(kg/h),c是流體的平均定壓比熱容(kJ/(kg·℃)),T1和T2分別是熱流體的進口和出口溫度(℃)。
2.計算總傳熱系數(K):總傳熱系數是衡量換熱器傳熱效率的參數,它取決于管壁的導熱系數、管內外流體的傳熱膜系數以及污垢熱阻。總傳熱系數的計算較為復雜,需要考慮多種因素,如流體的物理性質、流速、管壁材料等。
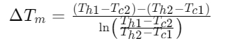
3.確定平均溫度差(Δtm):對于無相變的換熱過程,可以使用對數平均溫差(LMTD)來計算平均溫度差:

其中Th1和Th2是熱流體的進口和出口溫度,Tc1和Tc2是冷流體的進口和出口溫度。
4.計算換熱面積(A):一旦確定了熱負荷和平均溫度差,就可以使用以下公式計算換熱面積:

其中A是換熱面積(m2),Q是熱負荷(W),K是總傳熱系數(W/(m2·℃)),ΔTm是平均溫度差(℃)。
需要注意的是,這些計算通常是基于理想條件的,實際應用中可能需要考慮額外的因素,如污垢系數、翅片效率等,這些都會影響的換熱器面積。此外,換熱器的設計和構造,如管徑、管長、管排列方式等,也會對換熱面積產生影響。在實際工程項目中,通常需要根據具體情況選擇適當的計算方法,并進行驗證和優化,以確保換熱器的換熱面積能夠滿足熱傳遞的要求,從而實現快速的熱能轉移。